大数据处理 - Bitmap & Bloom Filter
[TOC]
布隆过滤器有着广泛的应用,对于大量数据的“存不存在”的问题在空间上有明显优势,但是在判断存不存在是有一定的错误率(false positive),也就是说,有可能把不属于这个集合的元素误认为属于这个集合(False Positive),但不会把属于这个集合的元素误认为不属于这个集合(False Negative)。
1. 布隆过滤器由来
布隆在1970年提出了布隆过滤器(Bloom Filter),是一个很长的二进制向量(可以想象成一个序列)和一系列随机映射函数(hash function)。可用于判断一个元素是否在一个集合中,查询效率很高(1-N,最优能逼近于1)。通常应用在一些需要快速判断某个元素是否属于集合,但是并不严格要求100%正确的场合。
1.1 特点
优点: 占用空间小,查询快缺点: 有误判,删除困难
1.2 几个专业术语
这里有必要介绍一下False Positive和False Negative的概念:
False Positive: 中文可以理解为“假阳性”,在这里表示,有可能把不属于这个集合的元素误认为属于这个集合False Negative: 中文可以理解为“假阴性”,Bloom Filter是不存在false negatived的, 即不会把属于这个集合的元素误认为不属于这个集合(False Negative)。
2. 布隆过滤器应用场景
网页爬虫对URL的去重: 避免爬取相同的URL地址;反垃圾邮件: 假设邮件服务器通过发送方的邮件域或者IP地址对垃圾邮件进行过滤,那么就需要判断当前的邮件域或者IP地址是否处于黑名单之中。如果邮件服务器的通信邮件数量非常大(也可以认为数据量级上亿),那么也可以使用Bloom Filter算法;缓存击穿: 将已存在的缓存放到布隆中,当黑客访问不存在的缓存时迅速返回避免缓存及DB挂掉;HTTP缓存服务器: 当本地局域网中的PC发起一条HTTP请求时,缓存服务器会先查看一下这个URL是否已经存在于缓存之中,如果存在的话就没有必要去原始的服务器拉取数据了(为了简单起见,我们假设数据没有发生变化),这样既能节省流量,还能加快访问速度,以提高用户体验。黑/白名单: 类似反垃圾邮件。Bigtable: Google 著名的分布式数据库 Bigtable 使用了布隆过滤器来查找不存在的行或列,以减少磁盘查找的IO次数。Squid: 网页代理缓存服务器在 cachedigests 中使用了也布隆过滤器。Venti 文档存储系统: 也采用布隆过滤器来检测先前存储的数据。SPIN 模型检测器: 也使用布隆过滤器在大规模验证问题时跟踪可达状态空间。Chrome加速安全浏览: Google Chrome浏览器使用了布隆过滤器加速安全浏览服务。Key-Value系统: 在很多Key-Value系统中也使用了布隆过滤器来加快查询过程,如 Hbase,Accumulo,Leveldb,一般而言,Value 保存在磁盘中,访问磁盘需要花费大量时间,然而使用布隆过滤器可以快速判断某个Key对应的Value是否存在,因此可以避免很多不必要的磁盘IO操作,只是引入布隆过滤器会带来一定的内存消耗。HTTP Proxy-Cache: 在Internet Cache Protocol中的Proxy-Cache很多都是使用Bloom Filter存储URLs,除了高效的查询外,还能很方便得传输交换Cache信息。网络应用: P2P网络中查找资源操作,可以对每条网络通路保存Bloom Filter,当命中时,则选择该通路访问。广播消息时,可以检测某个IP是否已发包。检测广播消息包的环路,将Bloom Filter保存在包里,每个节点将自己添加入Bloom Filter。信息队列管理,使用Counter Bloom Filter管理信息流量。
3. 布隆过滤器实现
Bloom Filter在很多开源框架都有实现,例如:
Elasticsearch: org.elasticsearch.common.util.BloomFilterguava: com.google.common.hash.BloomFilterHadoop: org.apache.hadoop.util.bloom.BloomFilter(基于BitSet实现)
3.1 以BitSet 实现方式为例
创建一个m位BitSet,先将所有位初始化为0,然后选择k个不同的哈希函数。第i个哈希函数对字符串str哈希的结果记为h(i,str),且h(i,str)的范围是0到m-1 。
加入字符串过程
下面是每个字符串处理的过程,首先是将字符串str“记录”到BitSet中的过程: 对于字符串str,分别计算h(1,str),h(2,str)…… h(k,str)。然后将BitSet的第h(1,str)、h(2,str)…… h(k,str)位设为1。

2021-02-20-j2Flzg 这样就将字符串str映射到BitSet中的k个二进制位了。
检查字符串是否存在的过程
下面是检查字符串str是否被BitSet记录过的过程: 对于字符串str,分别计算h(1,str),h(2,str)…… h(k,str)。然后检查BitSet的第h(1,str)、h(2,str)…… h(k,str)位是否为1,若其中任何一位不为1则可以判定str一定没有被记录过。若全部位都是1,则“认为”字符串str存在。 若一个字符串对应的Bit不全为1,则可以肯定该字符串一定没有被Bloom Filter记录过。(这是显然的,因为字符串被记录过,其对应的二进制位肯定全部被设为1了)
3.2 以BitSet 实现代码
package algorithm;
import java.util.BitSet;
public class BloomFilter
{
/* BitSet初始分配2^24个bit */
private static final int DEFAULT_SIZE = 1 << 25;
/* 不同哈希函数的种子,一般应取质数 */
private static final int[] seeds = new int[]{ 5, 7, 11, 13, 31, 37, 61 };
private BitSet bits = new BitSet(DEFAULT_SIZE);
/* 哈希函数对象 */
private SimpleHash[] func = new SimpleHash[seeds.length];
public BloomFilter()
{
for (int i = 0; i < seeds.length; i++)
{
func[i] = new SimpleHash(DEFAULT_SIZE, seeds[i]);
}
}
// 将字符串标记到bits中
public void add(String value)
{
for (SimpleHash f : func)
{
bits.set(f.hash(value), true);
}
}
// 判断字符串是否已经被bits标记
public boolean contains(String value)
{
if (value == null)
{
return false;
}
boolean ret = true;
for (SimpleHash f : func)
{
ret = ret && bits.get(f.hash(value));
}
return ret;
}
/* 哈希函数类 */
public static class SimpleHash
{
private int cap;
private int seed;
public SimpleHash(int cap, int seed)
{
this.cap = cap;
this.seed = seed;
}
// hash函数,采用简单的加权和hash
public int hash(String value)
{
int result = 0;
int len = value.length();
for (int i = 0; i < len; i++)
{
result = seed * result + value.charAt(i);
}
return (cap - 1) & result;
}
}
}4. 误报率 - False Positive Rate
4.1 误报率的产生
初始状态下,Bloom Filter是一个m位的位数组,且数组被0所填充。同时,我们需要定义k个不同的hash函数,每一个hash函数都随机的将每一个输入元素映射到位数组中的一个位上。那么对于一个确定的输入,我们会得到k个索引。
插入元素: 经过k个hash函数的映射,我们会得到k个索引,我们把位数组中这k个位置全部置1(不管其中的位之前是0还是1)
查询元素: 输入元素经过k个hash函数的映射会得到k个索引,如果位数组中这k个索引任意一处是0,那么就说明这个元素不在集合之中;如果元素处于集合之中,那么当插入元素的时候这k个位都是1。但如果这k个索引处的位都是1,被查询的元素就一定在集合之中吗? 答案是不一定,也就是说出现了False Positive的情况(但Bloom Filter不会出现False Negative的情况)

在上图中,当插入x、y、z这三个元素之后,再来查询w,会发现w不在集合之中,而如果w经过三个hash函数计算得出的结果所得索引处的位全是1,那么Bloom Filter就会告诉你,w在集合之中,实际上这里是误报,w并不在集合之中。
4.2 误报率的计算
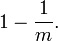
Bloom Filter的误报率到底有多大? 下面在数学上进行一番推敲。假设HASH函数输出的索引值落在m位的数组上的每一位上都是等可能的。那么,对于一个给定的HASH函数,在进行某一个运算的时候,一个特定的位没有被设置为1的概率是:

那么,对于所有的k个HASH函数,都没有把这个位设置为1的概率是:

如果我们已经插入了n个元素,那么对于一个给定的位,这个位仍然是0的概率是:

那么,如果插入n个元素之后,这个位是1的概率是:

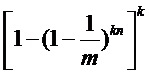
如果对一个特定的元素存在误报,那么这个元素的经过HASH函数所得到的k个索引全部都是1,概率也就是:

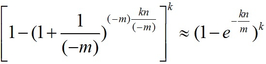
根据常数e的定义,可以近似的表示为:

4.3 减少误报率: 最优的哈希函数个数
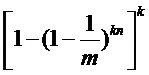
既然Bloom Filter要靠多个哈希函数将集合映射到位数组中,那么应该选择几个哈希函数才能使元素查询时的错误率降到最低呢? 这里有两个互斥的理由: 如果哈希函数的个数多,那么在对一个不属于集合的元素进行查询时得到0的概率就大;但另一方面,如果哈希函数的个数少,那么位数组中的0就多。为了得到最优的哈希函数个数,我们需要根据上一小节中的错误率公式进行计算。
先用p和f进行计算。注意到f = exp(k ln(1 − e−kn/m)),我们令g = k ln(1 − e−kn/m),只要让g取到最小,f自然也取到最小。由于p = e-kn/m,我们可以将g写成:

根据对称性法则可以很容易看出当p = 1/2,也就是k = ln2· (m/n)时,g取得最小值。在这种情况下,最小错误率f等于(1/2)k ≈ (0.6185)m/n。另外,注意到p是位数组中某一位仍是0的概率,所以p = 1/2对应着位数组中0和1各一半。换句话说,要想保持错误率低,最好让位数组有一半还空着。
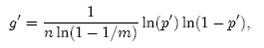
需要强调的一点是,p = 1/2时错误率最小这个结果并不依赖于近似值p和f。同样对于f’ = exp(k ln(1 − (1 − 1/m)kn)),g’ = k ln(1 − (1 − 1/m)kn),p’ = (1 − 1/m)kn,我们可以将g’写成:

同样根据对称性法则可以得到当p’ = 1/2时,g’取得最小值。
4.4 减少误报率: 位数组的大小
在不超过一定错误率的情况下,Bloom Filter至少需要多少位才能表示全集中任意n个元素的集合? 假设全集中共有u个元素,允许的最大错误率为є,下面我们来求位数组的位数m。
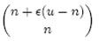
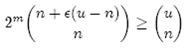
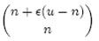
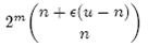
假设X为全集中任取n个元素的集合,F(X)是表示X的位数组。那么对于集合X中任意一个元素x,在s = F(X)中查询x都能得到肯定的结果,即s能够接受x。显然,由于Bloom Filter引入了错误,s能够接受的不仅仅是X中的元素,它还能够є (u - n)个false positive。因此,对于一个确定的位数组来说,它能够接受总共n + є (u - n)个元素。在n + є (u - n)个元素中,s真正表示的只有其中n个,所以一个确定的位数组可以表示:

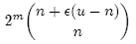
个集合。m位的位数组共有2m个不同的组合,进而可以推出,m位的位数组可以表示:

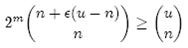
个集合。全集中n个元素的集合总共有:

个,因此要让m位的位数组能够表示所有n个元素的集合,必须有:

即:

上式中的近似前提是n和єu相比很小,这也是实际情况中常常发生的。根据上式,我们得出结论: 在错误率不大于є的情况下,m至少要等于n log2(1/є)才能表示任意n个元素的集合。
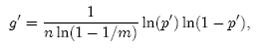
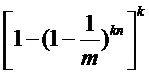
上一小节中我们曾算出当k = ln2· (m/n)时错误率f最小,这时f = (1/2)k = (1/2)mln2 / n。现在令f≤є,可以推出:

这个结果比前面我们算得的下界n log2(1/є)大了log2 e ≈ 1.44倍。这说明在哈希函数的个数取到最优时,要让错误率不超过є,m至少需要取到最小值的1.44倍。
5. 拓展: Counting Bloom Filter
从前面对Bloom Filter的介绍可以看出,标准的Bloom Filter是一种很简单的数据结构,它只支持插入和查找两种操作。在所要表达的集合是静态集合的时候,标准Bloom Filter可以很好地工作,但是如果要表达的集合经常变动,标准Bloom Filter的弊端就显现出来了,因为它不支持删除操作。
Counting Bloom Filter的出现解决了这个问题,它将标准Bloom Filter位数组的每一位扩展为一个小的计数器(Counter),在插入元素时给对应的k(k为哈希函数个数)个Counter的值分别加1,删除元素时给对应的k个Counter的值分别减1。Counting Bloom Filter通过多占用几倍的存储空间的代价,给Bloom Filter增加了删除操作。下一个问题自然就是,到底要多占用几倍呢?

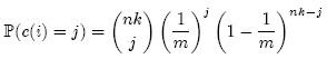
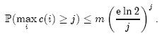
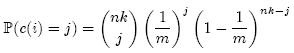
我们先计算第i个Counter被增加j次的概率,其中n为集合元素个数,k为哈希函数个数,m为Counter个数(对应着原来位数组的大小):

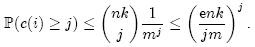
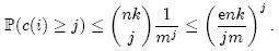
上面等式右端的表达式中,前一部分表示从nk次哈希中选择j次,中间部分表示j次哈希都选中了第i个Counter,后一部分表示其它nk – j次哈希都没有选中第i个Counter。因此,第i个Counter的值大于j的概率可以限定为:

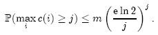
上式第二步缩放中应用了估计阶乘的斯特林公式:

在Bloom Filter概念和原理一文中,我们提到过k的最优值为(ln2)m/n,现在我们限制k ≤ (ln2)m/n,就可以得到如下结论:

如果每个Counter分配4位,那么当Counter的值达到16时就会溢出。这个概率为:

这个值足够小,因此对于大多数应用程序来说,4位就足够了。
6. 拓展: 其它
6.1 Data synchronization
Byers等人提出了使用布隆过滤器近似数据同步。
6.2 Bloomier filters
Chazelle 等人提出了一个通用的布隆过滤器,该布隆过滤器可以将某一值与每个已经插入的元素关联起来,并实现了一个关联数组Map。与普通的布隆过滤器一样,Chazelle实现的布隆过滤器也可以达到较低的空间消耗,但同时也会产生false positive,不过,在Bloomier filter中,某 key 如果不在 map 中,falsepositive在会返回时会被定义出的。该Map 结构不会返回与 key 相关的在 map 中的错误的值。
6.3 Compact approximators
6.4 Stable Bloom filters
6.5 Scalable Bloom filters
6.7 Attenuated Bloom filters
7. 相关题目
7.1 给你A,B两个文件,各存放50亿条URL,每条URL占用64字节,内存限制是4G,让你找出A,B文件共同的URL。如果是三个乃至n个文件呢?
根据这个问题我们来计算下内存的占用,4G=2^32大概是40亿*8大概是340亿,n=50亿,如果按出错率0.01算需要的大概是650亿个bit。现在可用的是340亿,相差并不多,这样可能会使出错率上升些。另外如果这些urlip是一一对应的,就可以转换成ip,则大大简单了。
7.2 给定a、b两个文件,各存放50亿个url,每个url各占64字节,内存限制是4G,让你找出a、b文件共同的url?
如果允许有一定的错误率,可以使用Bloom filter,4G内存大概可以表示340亿bit。将其中一个文件中的url使用Bloom filter映射为这340亿bit,然后挨个读取另外一个文件的url,检查是否与Bloom filter,如果是,那么该url应该是共同的url(注意会有一定的错误率)。”
7.3 在2.5亿个整数中找出不重复的整数,注,内存不足以容纳这2.5亿个整数。
方案1: 采用2-Bitmap(每个数分配2bit,00表示不存在,01表示出现一次,10表示多次,11无意义)进行,共需内存2^32 * 2 bit=1 GB内存,还可以接受。然后扫描这2.5亿个整数,查看Bitmap中相对应位,如果是00变01,01变10,10保持不变。所描完事后,查看bitmap,把对应位是01的整数输出即可。
方案2: 也可采用分治,划分小文件的方法。然后在小文件中找出不重复的整数,并排序。然后再进行归并,注意去除重复的元素。
7.4 给40亿个不重复的unsigned int的整数,没排过序的,然后再给一个数,如何快速判断这个数是否在那40亿个数当中?
用位图/Bitmap的方法,申请512M的内存,一个bit位代表一个unsigned int值。读入40亿个数,设置相应的bit位,读入要查询的数,查看相应bit位是否为1,为1表示存在,为0表示不存在。
8. 参考
https://my.oschina.net/kiwivip/blog/133498
https://blog.csdn.net/h348592532/article/details/45364147
https://blog.csdn.net/h348592532/article/details/45362661
https://blog.csdn.net/qianshangding0708/article/details/48030057
https://blog.csdn.net/xf_87/article/details/51073678
https://blog.csdn.net/weixin_34082695/article/details/90331258
https://blog.csdn.net/v_JULY_v/article/details/7382693
https://www.pdai.tech/md/algorithm/alg-domain-bigdata-bloom-filter.html
最后更新于
这有帮助吗?